안녕하세요.
오늘은 일반기계기사의 시험 범위 중에서,
열역학에 관련한 내용에 대해
요점을 정리해서 알려드리고자 합니다.
일반기계기사, 기계설계기사와 같은
자격증을 준비중이거나,
기계공학 학생으로로써 공부중인
학생들을 위해서 준비했습니다.
그 첫번째 내용으로,
열역학의 기초 중 하나인 열역학의 법칙 입니다.
아래의 개념들을 기억하고 도움이 되길 바랍니다.
포인트가 되게 기억할만한 한줄 요약도 정리하였으니, 참고 바랍니다.

0. 열역학적 상태량 (Property : 성질, 물성)
∵ 온도, 밀도, 엔탈피, 엔트로피, 체적, 질량, 내부에너지, 정압비열
, 압력, 마찰계수, 속도, 고도, 전기저항, 열팽창율 등
★ Point-> 시스템 내의 현재 상태만으로 결정되고, 과거의 변화 과정 혹은 경로에 무관
1-1. 강도성 상태량(Intensive property)
- 계의 크기 또는 물질의 양에 무관한 상태량
- 계를 n등분 할 때, 계의 강도성 상태량의 크기 = 각 n개의 부분에 대해 동일.
ex) 온도, 압력, 밀도, 점도, 비체적 등
1-2. 종량성 상태량(Extensive property)
- 계의 크기 또는 물질의 양에 따라 바뀌어지는 상태량
- 계를 n등분할 때, 계의 종량성 상태량의 값 = n등분의 할당량의 합.
ex) 중량, 체적, 총에너지, 질량, mole수 등
1. 열역학 제 1법칙 : 에너지 보존의 법칙
∵ 열량->일량으로, 일량->열량 환산 가능
∵ 열과 일의 관계를 설명하는 법칙으로 가역, 비가역을 막론하고 모두 성립.
∵ 밀폐계의 가역정압과정에서, 열전달량=엔탈피의 변화.
∵ 기계열역학에서 일과 열에 대한 설명
- 일과 열은 전달되는 에너지이다. 그러나 열역학적 상태량은 아니다.
- 일과 열은 과정, 경로, 도정함수.
★ Point-> 변화는 원인 없이 일어나지 않는다.
★ Point-> 에너지는 형태가 변할 수 있을 뿐 새로 만들어지거나 없어질 수 없다. (에너지 보존 법칙)

2. 열역학 제2법칙 : 엔트로피의 법칙
- 열효율이 100%인 열기관을 만들 수 없다.
- 열은 저온 물체로부터 고온 물체로 자연적으로 전달되지 않는다.
- 입력되는 일 없이 작동되는 냉동기를 만들 수 없다.
∵ 계가 한 상태에서 다른 상태로 변할 때 엔트로피의 변화
- 엔트로피 = 열을 공급하면 증가, 열을 방출하면 감소
- 열의 공급과 방축이 없다면 불변일 경우도 있다.
∵ 엔트로피 특징
1) 엔트로피는 상태량, 성질, 점함수.
2) 엔트로피를 구하는 적분 경로는 반드시 가역변화여야 한다.
3) 비가역사이클에서 클라우지우스의 적분값은 0보다 적다.
4) 가역, 비가역을 포함하는 모든 이상기체의 등온변화에서 압력이 저하하면 엔트로피 증가.
∵ 이상기체의 교축(스로틀)과정
1) 엔탈피 변화가 없다.
2) 온도의 변화가 없다.
3) 비가역 단열과정이다. → 엔트로피는 증가한다.
★ Point-> 고립계의 엔트로피는 감소하지 않는다 (증가하는 현상은 발생)
★ Point-> 사용해버린 에너지(엔트로피가 높은 상태)를
같은 양의 엔트로피가 낮은 에너지로 다시 되돌리는 것은 불가능.
★ Point-> 실외기 없는 에어컨은 존재 불가능 (생산되는 냉기보다 많은 열이 발생)
3. 열역학 제3법칙 : 네른스트-플랑크 정리
- 엔트로피는 절대영도에 가까워 질수록 변화량이 0에 수렴
- 완전한 결정상태의 엔트로피 = 0J/K
- 다만, 자연에서 절대영도는 존재 할 수 없고, 0K로 수렴

x = 위치
p = 운동량
★ Point-> 절대영도에서 엔트로피는 상수가 된다.
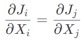
4. 열역학 제4법칙 : 온사게르 상반정리
- 수송계수의 대칭성
- 몇가지 힘Xi 가 작용하고, 그에 공역적 흐름 Ji가 있을때
아래의 공식이 성립

★ Point-> 압력 차이당 열흐름량과 온도 차이당 밀도흐름량이 동일.
'기계설계 자격증, 공부자료' 카테고리의 다른 글
| [ 기계 요소 ] 볼트란? 볼트의 종류, 볼트 규격 (0) | 2021.12.24 |
|---|---|
| [ 일반기계기사 ] 기계 열역학 요점 정리-2 (0) | 2021.12.23 |
| PLC란 무엇인가? PLC의 기초 (0) | 2021.12.22 |
| 유압이란? 유압 이론 기초 (0) | 2021.12.20 |
| 기계설계 자격증 종류 및 추천 (0) | 2021.12.17 |
댓글